【合成必备知识】LCMS基础
LCMS是常用的监测手段,下面对其一些基础知识进行介绍,内容整理自网络,版权归原作者所有。质谱分析是先将物质离子化,按离子的质荷比分离,然后测量各种离子谱峰的强度而实现分析目的的一种分析方法。
质谱分析原理
分子在真空中被电子轰击,形成离子,通过电磁场按不同m/e分离;质谱图的表示方法:以棒图形式表示离子的相对峰度随m/e的变化;提供的信息:分子离子及碎片离子的质量数及其相对峰度,提供分子量,元素组成及结构的信息,可以用于测定相对分子质量、化合物分子式及结构式。质谱样品:适合分析相对分子质量为50~2000的液体、固体有机化合物样品,试样应尽可能为纯净的单一组分。
以下是FT-ICR质谱仪工作过程:

离子产生

离子收集

展开全文
离子传输
FT-ICR质谱的分析器是一个具有均匀(超导)磁场的空腔,离子在垂直于磁场的圆形轨道上作回旋运动,回旋频率仅与磁场强度和离子的质荷比有关,因此可以分离不同质荷比的离子,并得到质荷比相关的图谱。


离子回旋运动

傅立叶变换
相关概念
离子丰度(Abundance of ions):检测器检测到离子信号强度。
相对离子丰度(Relative abundance of ions):以质谱图中指定质荷比范围内最强峰(基峰)的强度为100%。其它离子峰对其归一化所得到的强度。标准质谱图均以离子相对丰度值为纵坐标。离子的丰度与物质的含量相关,因此是质谱定量的基础。
EI:电子轰击源质谱,常用于GC-MS系统。
API:大气压电离源质谱,常用于LC-MS系统。
MALDI:基质辅助激光解吸电离源质谱,常用于生物大分子分析。
HPLC:高效液相色谱法(High Performance Liquid Chromatography \ HPLC)又称“高压液相色谱”、“高速液相色谱”、“高分离度液相色谱”、“近代柱色谱”等。高效液相色谱是色谱法的一个重要分支,以液体为流动相,采用高压输液系统,将具有不同极性的单一溶剂或不同比例的混合溶剂、缓冲液等流动相泵入装有固定相的色谱柱,在柱内各成分被分离后,进入检测器进行检测,从而实现对试样的分析。
UPLC:超高效液相色谱(Ultra Performance Liquid Chromatography,UPLC)色谱理论认为提高色谱柱的效能(efficiency)就能增加仪器的解析度(resolution),而运用粒径低于2μm的小颗粒无疑是增加效能的好方法。但减小固定相的粒度以增加色谱柱效能一直是色谱仪器科学的瓶颈,因为小颗粒不仅要求系统能承受高于目前极限压力(比如6000psi/400bar),需要更小的系统体积(死体积),并且需要能适应可能只有几秒峰宽的高速检测器。
ESI:Electron Spray Ionization的缩写,意思是电喷雾离子源,是质谱仪中较为常用的一种离子化方式。电喷雾离子源属于一种软电离源,能使大质量的有机分子生成带多电荷的离子。
APCI:Atmospheric Pressure Chemical Ionization的缩写,大气压化学电离源 APCI是20世纪90年代后使用的液相色谱和质谱联用的接口技术之一。溶液在气流作用下形成气溶胶,蒸发,电晕放电使溶剂电离,电子转移或电子捕获,使样品带电。
Mass Spectrum (MS) 相关知识
离子在电场中加速,在磁场中偏转。正离子源适用于碱性化合物: 含氮化合物更容易粘附氢正离子,在正离子源中容易出分子离子峰。负离子源适合酸性化合物: 酸性化合物更容易轰击掉氢正离子,如酸,酚类化合物。

一、加减分子量峰
常用的MS或者LCMS检测为ESI电离源,当一种化合物不出MS或者MS异常的还可以作ACPI电离源检测,可能会得到相应的结果。
加分子量峰: M+1(H+); M+23(加Na+); 2M+23(两分子共用一个钠离子)。
减分子量峰: M-56(脱叔丁基)和M-100(脱Boc),非常常见; M-16(脱NH3)和M-17(脱水)以及(M+2)/2(在电场里面粘附上2个正离子),含烯丙基或苄基的杂原子化合物,很容易出烯丙基或苄基的正离子碎片峰,比较常见。


常见的离子片段
正模式
原因
M+1
[M+H]+
M+14
在LCMS中羧酸与甲醇成酯,或其他多一个碳的情况
M+18
[M+NH4]+
M+19
水合
M+23
[M+Na]+
M+33
[M+CH3OH+H]+
M+39
[M+K]+
M+42
[M+CH3CN+H]+
M+64
[M+CH3CN+Na]+
2M+1
二聚+氢离子,倍峰
2M+23
二聚+钠离子
一系列相差42的峰
可能为石蜡油污染
一系列相差44的峰
可能为聚乙二醇污染
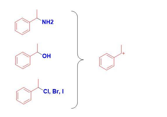
M-16
[M-NH2]+(多见于苄胺,烯丙胺,苯甲酰胺)
M-17
[M-OH]+(多见于苄醇,烯丙醇,苯甲酸)
M-31
[M-OCH3]+(多见于苯甲酸甲酯)
M-35
[M-Cl]+(多见于苄氯或烯丙基氯)
M-44
羧酸和含Cbz的分子常见,重排后脱CO2
M-45
[M-OCH2CH3]+(多见于苯甲酸乙酯)
M+1-56
含Boc的分子常见,脱叔丁基片段
M-79
[M-Br]+(多见于苄溴或烯丙基溴)
M+1-100
含Boc的分子常见,脱Boc片段
M-127
[M-I]+(多见于苄碘或烯丙基碘)
(M+2)/2
分子络合两个氢离子,半峰
负模式
原因
M-1
[M-H]-
M+X
[M+X]-, X=溶剂或缓冲溶液的阴离子
M+S-1
[M+S-H]-, S=溶剂
【有机合成路线】:LCMS常出现的干扰离子峰总结
二、同位素峰
特别注意精确分子量和摩尔分子量的区别:质谱分子量都是用同位素质量计算得到的。Chemdraw里精确分子量是高分辨的最高强度峰,是用组成该分子的所有原子在天然界中丰度最高的同位素的质量加和得到的,对有多个同位素的原子,同一个分子碎片就有可能出现多个质谱峰。比如下图中的例子:氯原子有原子量为34.97和36.97两个同位素, 而且天然丰度都是接近3;1, 其质谱图中就会出现155.05和157.05两个分子离子峰, 且强度比接近3:1。自然界中的元素都是各个同位素的混合,因此摩尔分子量是按自然界中同位素的比例平均得到的。平时测MS时,可以直接通过 Chemdraw(手机APP--Kingdraw也挺好用)计算出质谱的分子离子峰。

同位素峰的一个常见应用就是可以直接判断所测的化合物是否含有Cl或Br等具有明显同位素的原子。常见氯和溴同位素的表现: 一个氯峰高比M+2/M=1/3; 一个溴为峰高比M+2/M=1/1), 同时含有多个同位素的表现可以用Chemdraw精确模拟。
另外一些特殊情况下可以通过同位素峰判断是否反应完全,如下图所示:A经过偶联生成B,利用LCMS监测反应,如不仔细看同位素峰,就会误判原料没有反应。正模式下, 原料A[M+H]: 268, 270; 产物B只有[M+H]: 270。

HPLC相关注意事项
基本原理: 实验室常过的硅胶柱和TLC都是是正相柱,常见的HPLC是反相柱两者在出峰时间上大体相反,即极性大的化合物先出峰,极性小的后出峰。但也不是所有情况都相反,例如有些在TLC板上极性小的化合物却含有水溶性好的基团,出峰位置很可能会提前。
HPLC的应用: 测定反应液中各个组分含量,测定化合物纯度,监控反应是否完全。参照出峰时间和出峰面积来判断原料转化率和产物生成量。
流动相方法:0-60,5-95,10-80,30-90等等,可以让分析人员设置: 。0-60,5-95,10-80,30-90这些数字都是指乙腈的含量,乙腈含量越大,流动相极性越小,出峰越靠前,常用的是10-80的方法,根据10-80方法的出峰时间换用不同的方法。有机流动相也可以用甲醇,水相,正模式通常用0.05%的三氟乙酸水溶液, 负模式常用0.02%或乙酸铵盐水溶液。
特殊HPLC: 碱性柱和中性柱在酸性柱下不能分开的情况下使用 ELSD在紫外显色弱或者没有的情况,气相柱适用于沸点低于300摄氏度的化合物。
查看LCMS步骤:1)、先看MS部分,看有没有所要离子峰,并且要看清楚峰是否有所需化合物MS信号,判断该峰是否掩盖周围的峰。2)、再看HPLC部分,看含量有多少,并且要看清楚该化合物是否有强的HPLC信号,是否掩盖周围的峰; 3)、两者结合起来看,判断两个峰是否对应,推测反应进行的程度和反应产生的杂质。

注意事项:
1、LCMS的注意要点:LCMS是HPLC和MS的结合,HPLC和MS的出峰时间是有差异的,由于反应液是先通过HPLC分别走出各个峰,然后分别进入MS系统,因此MS的出峰时间比HPLC的出峰时间稍微滞后(具体滞后时间和具体机器有关),特别是反应液比较复杂的情况下一定要注意,不要将MS的峰对应了错误的HPLC峰,导致反应判断错误。另外不能只靠LCMS检测反应,特别是不点TLC,直接做LCMS。应该结合其他手段来确定化合物(特别是NMR).
2、正负离子源分别适合什么分子: 正离子源适用于碱性化合物,如含氮化合物更容易粘附氢正离子,在正离子源中容易出分子离子峰。负离子源适合酸性化合物,酸性化合物更容易被轰击掉氢正离子,如酸,酚类化合物。所以要根据需要监测的化合物的性质来决定使用哪种离子源。
3、MS仅为辅助检测手段,只可进行粗略判断反应液中是否有该化合物,绝对不能从MS出峰强度来判断反应液中样品的含量。如果两个结构非常类似的化合物,HPLC出峰位置相同时,并且具有相同的官能团的话,可以通过MS出峰强度粗略判断含量,可以考虑通过点板或HNMR确认比例。
4、0-60,5-95,10-80,30-90这些方法是指什么意思:0-60,5-95,10-80,30-90这些数字都是指乙腈的含量,乙腈含量越大,流动相极性越小,出峰越靠前,常用的是10-80的方法,根据10-80方法的出峰时间换用不同的方法。
6. 其他注意事项:一、甲苯等在LCMS上有吸收峰的试剂作为溶剂的反应,在送LCMS监测前一定要先除掉,不然会影响对反应的判断,特别是溶剂峰刚好和产物或原料峰出在一个位置时。二、当点板和LCMS有很大出入时,LCMS要换其他方法重新监测,切换正负模式或梯度,防止峰的重叠。三、一般监测前,测样要滤膜过滤,所以要确保所测样品要完全溶解。
本文部分内容来源于网络, 版权归原作者所有。

评论